最后更新:2021-10-08 23:47:36 手机定位技术交流文章
算机网络的概念
计算机网络是计算机技术和通信技术相结合的结果,没有标准的定义,而且随着当代计算机和通信技术的演变和关注的不断改变,人们往往对计算机和通信技术的含义有不同的看法,但有一个共同的核心点:计算机连通和资源分享网络是计算机技术和通信技术相结合的结果,没有标准的定义,随着现代计算机和通信技术的演变和关注的不断演变,人们往往对计算机和通信技术的含义有不同的看法,但有一个共同的核心点:计算机连通和资源分享。
计算机网络是一个信息系统,许多具有不同类型通信线路的计算机系统分散在不同地点,具有自主功能,数据通信根据网络协议进行,以实现资源共享。 “连接”一词在这里有两个含义:一个是指传输介质和传输装置所建立的实际连接,另一个是指传输介质和传输装置所创建的虚拟连接。
与单台计算机系统相比,计算机网络的主要作用是共享资源,如下文三类所示。

计算机网络功能
(1) 通信. 通信系指计算机之间的数据传输,例如文件传输协议(转移协议、FTP)、电子邮件(电子邮件)、网络电话(...、微型邮件)、IP电话、万维网、公告板系统(Bulletin Board System,BBS)等等。
(2) 资源共享。“共享”是指互操作和现成使用的潜力,例如,利用大型的场外计算机进行无法由当地计算机进行的计算,使用浏览器从其他计算机获取信息,等等。
(3) 提高计算机系统的可靠性。 在计算机网络中,计算机之间的备份提高了计算机系统的可靠性。
二楼、二楼、二楼、二楼、二楼、二楼、二楼、二楼、二楼、二楼、二楼、二楼、二楼、二楼、二楼、二楼、二楼、二楼、二楼、二楼、二楼、二楼、二楼、二楼、二楼、二楼、二楼、二楼
计算机网络的建立和发展分为四个阶段:

计算机网络的形成和增长
这是我这辈子第一次见到一位女士。TCP/IP参考模式
互联网的网络多种多样,其硬件构成和操作协议也各有不同。 为了进行协调,必须达成一项全球协议,即TCP/IP议定书小组,在此之前有ARPANET通信协议。 TCP/IP由于互联网的巨大成功,已成为世界公认的事实上的网络标准。 TCP/IP模式以有形网络为基础,从下至上分为四层。

TCP/IP模型
TCP/IP模型传输数据的形式如下:自下而上(物理链接层、网络层、运输层和应用层):位流、框架、包件(演示分组)和信息。
这是第一次我见到一位女士。这篇文章是我们对埃及20112年抗议的 特别报道的一部分。
计算机网络有若干分类标准,往往分为局域网、城市地区网络和以网络覆盖的地理区域为基础的广域网。
(1) 局域网(局域网)。 局域网(局域网)是一个由通信线路组成的计算机硬件网络,规模较小。 局域网一般限于较小的区域,通常通过有线连接方式连接。 局域网一般距离不超过10公里,通常安装在建筑物或园区(园区)。 地理覆盖范围从几十米到数千米不等。 例如,实验室、大楼、园区或单位连接计算机、终端站和外部设备。 局域网的传输率较高,通常为10至1 000兆b/s,由学校、单位或公司集中管理。 各种计算机可通过局域网共享资源,例如打印机和数据库。
(2) 城市地区网络(MAN)。 城市地区网络的规模限于一个城市,覆盖的地理区域从数十公里到数百公里不等。 城市地区网络基本上是局域网(LAN)的延伸,就像一个大型局域网(LAN)一样,通常使用与局域网类似的技术,但具有更广泛的传输媒介和电缆结构。例如,为了满足大城市、机构、公司和社会服务部门的计算机联网需要,多媒体信息由许多用户共享(声音包括语音和音乐;图像包括动画和视频图像;文本包括电子邮件和超链接网页等)。
(3) 广域网(广域网、广域网).广域网利用各种技术、适用范围和既定标准.地理覆盖范围从数百公里扩大到数千公里,甚至数千米,可以是世界的一个区域、一个国家,甚至是多个大陆。
网络上的计算机称为主机,通过通信子网连接。电信子网的功能是将信息从一个主机传送到另一个主机。通信子网由传输渠道和传输设备组成。传输频道用于在机器之间发送数据。传输设备是连接两个或两个以上传输线路的具体计算机。
因特网是一个国际计算机网络,由广域网、局域网和根据具体通信协定的单一机器组成,是利用计算机信息技术连接两个或两个以上计算机客户和服务客户的结果,因特网于1969年起源于美国,也称为因特网,是一个世界性网络。
这是第一次见到一位女士。这篇文章是我们特别报导的埃及2011年抗议活动的一部分。
在计算机网络中,计算机作为节点,与计算机相连的通信线路作为链接,生成计算机地理分布和互联的几何结构。 计算机与该链接之间的这种高技术关系被称为t的顶端结构。
|
|
|
|
|
|
![]() |
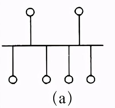
将网络中的所有节点与传输线连接起来。 网络中的所有节点通过总线互动, 只能同时使用一对节点 。 |
结构简单、容易完成、易于发展 |
关键节点的电路故障可能会引发网络瘫痪。 |
|
![]() |
在恒星模式的地形学中,每个节点都通过一条单独的通信线连接到中心节点。 中央节点管理所有网络连接,两个节点之间的所有通信都是通过中心节点连接的。 |
一个可以直接实现和管理的基本结构。 |
中心节点是整个网络可靠性的一个瓶颈,如果它失败,整个网格就会下降。 |
环型 |
![]() |
环顶地形图中的节点通过通信链接创建了封闭的环圈。 环中的数据向一个方向转移。 |
结构是直截了当的,实施是简单的,传输时间是经过验证的。 |
每个节点和连接节点之间的通信连接造成网络可靠性瓶颈。 环节点中任何一个节点的电路故障都可能导致网络瘫痪。 |
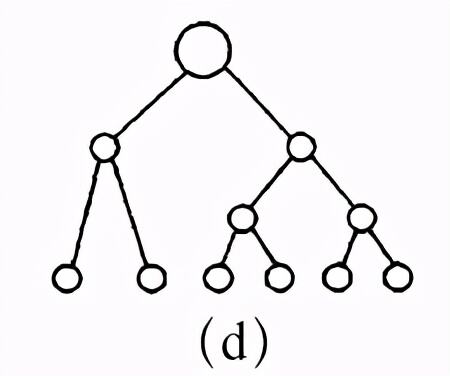
树型 |
![]() |
树顶结构是恒星模式结构的延伸。树顶结构中的节点是按等级顺序连接的。树顶网络的应用程序要求用于信息汇编。 |
||
网状型 |
![]() |
在类似于网格的顶楼结构中,节点之间的联系是任意和不规则的,目前实际存在和使用远方计算机网络的情况大多使用网络型顶楼结构。 |
系统可靠性高 |
结构复杂,需要使用路线选择算法和交通控制系统。 |
4 这篇文章是我们独家报导埃及2011年抗议活动的一部分。
通常认为网络协议是跨网络的通信桥梁,只有具有相同网络协议的计算机才能进行通信和传递信息。 从专业观点看,网络协议是计算机为完成网络通信而必须遵守的协议,即通信协议(议定书 ) 。
(1) 《传送管制议定书/因特网协定》(TCP/IP)。 在实际应用中,最重要的是目前最常见的商业协定TCP/IP以及使用因特网的协定。 与OSI不同的是,它是当代工业标准或1974年文顿·塞夫和罗伯特·卡恩提出的“事实标准”。 它分为四层:有形链层、网络层、运输层和运输层。
(2) 超文本传输协议(HTTP).HTTP是将超文本从WWW服务器传输到本地浏览器的应用级别协议。它可以提高浏览器的效率和最小化网络传输。 它不仅保证计算机正确和迅速地传输超文本文件,而且还决定传输文档的哪个部分以及内容的哪个部分先显示,等等。
• 支持客户/服务器模式。
• 简单快捷:当客户希望服务器提供服务时,只发送请求方法和路线。
• 可调适性:HTTP支持转让任何形式的数据项目。
• 无连接:不连接的目的是限制处理每个连接仅一个请求,在服务器处理客户请求并收到客户答复后中断连接。
* 无国家:没有一个国家意味着协议没有处理此事的记忆能力。 地位限制意味着如果后续行动需要事先信息,必须重新转交,这可能导致每个连接传输的数据量增加。 另一方面,服务器在不需要事先信息时答复更快。
(3) 简单的邮件传输协议(SMTP)。 SMTP是一种基于FTP文件传输服务的邮件服务,主要用于在各系统之间发送邮件信息,并发出与来信有关的警报。
SMTP最重要的方面之一是其通过网络发送电子邮件的能力。
这是第一次见到一位女士。这个职位是我们特别报导埃及2011年抗议活动的一部分。 5 局域网的特点、功能和基本构成。
1.局域网的特点
从局域网应用的角度来看,局域网包括下列主要财产:
• 局域网覆盖一个小地理区域,往往在几千米以内,适用于在器官、公司、校园、军营、工厂等方面对有限种类的计算机、终端和不同形式的信息处理设备的要求。
● 局域网具有高数据传输速率(10~10 000 Mbps)、低误码率(<10−8)的高质量数据传输环境。
• 局域网往往由一个实体控制,易于建立、管理和发展。
• 网络定位、传输介质和中位出入控制技术是影响局域网特点的主要技术因素。
二楼二楼二楼二楼二楼二楼二楼二楼二楼二楼二楼二楼二楼二楼二楼二楼二楼二楼二楼二楼二楼二楼二楼二楼二楼二楼二楼二楼二楼二楼二楼二楼二楼二楼二楼二楼二楼二楼二楼二楼二楼二楼二楼二楼二楼二楼二楼二楼二楼二楼二楼二楼二楼二楼二楼二楼二楼二楼二楼二楼二楼二楼二楼二楼二楼二楼二楼二楼二楼二楼二楼二楼二楼二楼二楼二楼二楼二楼二楼二楼二楼二楼二楼二楼二楼二楼二楼二楼二楼二楼二楼二楼二楼二楼二楼二楼二楼二楼二楼二楼二楼二楼二楼二楼二楼二楼
网络硬件主要包括服务器、工作站、传输媒体和网络连通部分。 通过传输媒体和网络连通部分实现工作站和服务器之间的连通。 网络连通部分除其他外包括网络卡、中继器、中继器、中枢和交换器。

局域网的基本组成
(1) 服务器。服务器是网络系统的核心,为网络用户提供服务,管理整个网络,而其运行的操作系统是网络操作系统(Windows服务器、Linux或UNIX)。A 随着局域网功能的扩展,服务器可分类为文件服务器、打印服务器或通信服务器,根据服务器的职责和功能,也可在因特网上查阅。在整个网络中,服务器的负担有时是正常工作站的数倍,甚至数百倍。
(2) 工作站,又称客户机。 客户机意味着,当计算机与局域网连接时,计算机成为局域网的客户。 服务器向网络上许多网络用户提供服务,分享其资源。 服务器与服务器不同,服务器只向使用客户机的用户提供服务。 用户用户和网络的界面设备是用户与网络资源交流信息和共享网络资源的界面设备。 用户使用具有某些处理能力的个人计算机(计算机、个人电脑)。 用户有自己的操作系统(Windows或Linux),通过运行相关的网络应用程序获取共享的服务器资源。
(3) 网络适配器(网络接口卡,NIC),也称为网页卡。 因特网卡是计算机局域网系统最基本、最关键和必要的连接,计算机主要通过网络卡进入局域网。 除了作为实际接口外,网络卡还管制数据包的分发和接收。
(4) 传输媒体.目前最流行的传播媒体是双重扼杀、共轴电缆、光纤和无线。
(5) 网络交换或枢纽.网络交换交换端点,将多条线连接在一起,使港口工作站和多工作站之间的数据传输能够同时连接许多,这可以加强局域网的带宽,提高局域网的性能和质量。 中心也称为HUB, 将多条线的端点连接在一起。
除了网络硬件外,网络软含是局域网的一个重要组成部分,目前最常用的网络操作系统是UNIX、Windows服务器、Linux等。
这篇文章是埃及2011年抗议活动独家报导的一部分。
(1)广域网。
|
广域网(广域网)是一个范围很广的数据通信网,经常利用公共网络系统提供的能力(例如电信、宽带等)发送,可以传播到一个城市、一个国家,甚至遍及全世界几个国家。 |
|
|
|
它通常由主机[主机,有时还有终端系统]和通信子网[通信子网,缩略式子网]组成,用于在主机之间传递信息。 网络通信(子网)和应用(主机)的分离将简化整个网络的设计。 在许多广域网中,公共网络通常作为通信子网,有两个组成部分:传输线和交换节点。 传输线用于传输计算机之间的位流;交换节点有时被称为群交换节点、节点交换,并用于连接两个或两个以上的传输线。 当数据到达输入线的交换节点时,交换节点必须为其选择输出线并输出。 节点交换节点可履行组记忆传输功能。 这是节点之间的点对点连接。 |
|
一个广域网提供两种服务:数据报告和假电路服务,一个广域网提供最新的网络服务和联机网络服务。 |
(2)网关。
|
网关(协议转换器)是一个在互联网上运行的设施,在TCP/IP网络层上方进行协议转换操作,称为设施,因为网关并非总是一种设备;它可能是硬件和软件组合的产物,可以连接多个网络,也可以是主机的网关功能。 |
|
利用网关连接各种结构的网络,而连接的网络可能使用不同的格式、通信协议或结构,将各种结构的网络连接起来,而连接的网络可能使用不同的格式、通信协议或结构。 |
|
高级协议转换功能,采用一个协议格式的数据集,然后将其转换成另一个协议格式,然后传递给另一个协议。 |
|
可在服务器、微型机器或大型计算机上找到网关。 网关通常是在路由器中装入的软件。 |
|
礼宾网关、申请网关和安全网关是三种网关。 |
本文由 在线网速测试 整理编辑,转载请注明出处。