最后更新:2021-11-19 18:02:49 手机定位技术交流文章
根据区域控制模式的雷达信号分析通信的可靠性。
摘要:为了在区域控制模式下保护雷达信号传输系统,利用建立可靠的雷达信号传输数学模型的方法,评估利用现有雷达信号传输保证数据开发的模型,获取确保提高雷达信号传输可靠性的手段,对性别进行了定量评估。
雷达信号、区域控制、传输安全以及可靠性是所使用的一些术语。
0引言
为满足国家经济的需要和发展民用航空运输,民航局在全国各地连续建立了七个区域管制中心,这是我国民航史上最大的空中交通基础设施建设项目,北京、上海、广州和成都四个区域管制中心已经开始运作。 七个区域管制中心一旦全面运作,就能为在该国32个省(自治区、中央政府直辖市)和海洋地区飞行的高空飞机提供空中交通管制,并有能力在长、长的距离内运作。
在这种广袤、偏远的区域运作模式下,雷达信号传输是关键通信之一,对雷达信号传输具有高度可靠性的要求,为了适应这一运作结构,海关数据自动化系统配备了初级的备战系统,传输系统配备了多常规立体传输系统。
1 开发用于评估雷达信号传输可靠性的数学模型
一、对可靠单向雷达信号的性分析
例如,在长距离广域操作模式下,快速快照雷达信号的传输。

图1:雷达信号传输摘要
如图1所示,单一雷达信号传输是级联系统,组合系统是缺乏冗余的系统模型,任何子系统的故障都会导致整个系统崩溃。
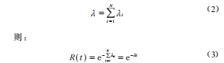
假设R(t)系指雷达信号通信系统在(0)段时期内避免故障的可能性,次系统的可靠性相应是R,4(i=1,2,..,N),而且所有次系统的故障都是独立的,则整个链系统R(t)的概率是:

造成系统效率低下,即:

预计自动输油管系统的可靠性为一年。 在8%的时间里,通信连接的可靠性为99.0%,传输设备可靠性为99%。 在2%的时间里,雷达信号的可靠性为99.3%,代用(1),每年可靠性如下:

由此得出的结论是,雷达信号通信系统的可靠性取决于这一链条系统中最低的可靠程度之一,链接和传输设备的数量越多,可靠性就越低。 模式(3)表明,级联系统次系统的数量越多,效率越低,可靠性就越低,平均无故障运行期越短。
一. 分析两个雷达信号路径的可靠性
如图2所示,一个部门的雷达信号通信由多个子系统组成,包括导航管道自动系统、主要通信线路、传输设备和雷达信号输出系统。
R(t)=A(t)E(t)(5)
A(t)表示自动导航系统的总体可靠性,E(t)表示传输系统和雷达信号的总体可靠性。

0)是传输渠道的总体可靠性,C.D()是传输设备可靠性雷达信号输出的可靠性,而且:

假设存在两个ASYCUDA系统,ASYCUDA系统的可靠性为99.0%,另一个自动管道系统的可靠性为99.3%;每个雷达站的雷达信号有三条传输路径;其中两条用作电信和连通的支柱,假设电信主干网可靠性为99.0%,主要连接可靠性为98%;另一种传输手段是将卫星作为主干线,假设卫星干线可靠性为95.0%;
可靠性为100%。 At 2%,雷达信号输出的可靠性为99.3%;通过插入上述值(5)计算年度可靠性:

由于模式(4)和模式(9分析),雷达信号被传送到不同传输路线,可靠性97.37%上升到99.98%,增加了2.6%,安全性显著改善。 这一模式有助于提高传输可靠性。
2 提高雷达信号传输的复原力。
在现实中,建立合用同一地点的雷达站将提高同一地区雷达信号的可靠性。
广州地区控制中心在高海拔地区实现了雷达信号的双重覆盖,即每个地区有两个雷达站,能够提供部门覆盖面和不同地点的雷达信号,每个地区覆盖三个雷达信号将有助于达到99.99%的设备安全目标。
一般来说,由多个独立运营商提供通信主干线可以提高雷达信号通信的可靠性,根据正常故障统计,通信线运营商提供的主要线路数量更多,以模式(8)为基础,由多个独立运营商提供主要通信线路直接有助于提高可靠性。
广州地区控制中心对一级雷达信号FA16传输设备采用“双干箱”概念,一个地面干箱使用中国电信公司提供的2MB线路作为传输干箱,第二个地面干箱使用2MB连接提供的2MB干线作为备份传输干箱,雷达信号利用C波段或KU卫星的广播传输模式支持引导雷达信号。
在操作进入期间,雷达信号传播到不同的设备,从而提高可靠性。 基地(5)和连接结构可有效提高可靠性,因此,在雷达信号启动期间,需要注意同一部门、不同地点的FA16传输设备以及不同单元的接入设备。 此外,还应考虑获得电源、电缆等。
因此,雷达信号传输链应尽量降低到最低程度,从而有助于提高可靠性。 雷达信号传输在模式(1)的基础上为另一个链接增加一个链接,可靠性将降低,因此信号传输链应尽量减少,特别是降低信号的多次跳跃。
广州区域控制中心的若干地方雷达信号台目前拥有相当多的传输连接,建议尽可能精简高高度地点的传输路线和地面安全,有些空中雷达信号传输特别复杂,通过马拉松和FA16等运输设备进行,有许多复杂的传输路径。
因此,非常需要加强自动导航系统的可靠性,根据广州区域管制中心系统目前设备使用模式,根据模式(9)计算,总体可靠性为99,98%没有满足设备安全要求,99.9%的请求是根据综合模式增加自动导航系统,以进一步提高自动导航系统的可靠性。
3结语
只有可靠的雷达信号通信才能构建可靠的大型区域控制模式。 本研究对雷达信号通信的可靠性进行评估只是影响系统总体可靠性的基本要素的简化模型,但仍可用作在实际保障行动中发现困难的模型。
基于区域控制模式的雷达信号 202119_6172f65acq44
本文由 在线网速测试 整理编辑,转载请注明出处。