最后更新:2022-04-28 14:27:12 手机定位技术交流文章
这本书的主要内容是6-1,6-2,6-3。
目录
一、系统销毁和管制方面的问题
一. 控制系统业绩指标
二. 系统带宽选择
3. 校正方法
4. 基本控制规律
1. 控制模式是成比例的(P)。
(2) 控制模式,比率-差异(PD)比率
3) 得分控制模式(一)
4) 以规模计分(PI)为基础的控制计划
控制方法: 缩放 - 分数 - 十进制 (PID)
二. 共同纠正办法的特点
1. 无源校正网络
1)无源超前网络
2)无源滞后网络
(3) 外部时差 -- -- 超级前网络
2. 有源校正网络
三. 最佳的开放环环频率特征
三、串联校正
1. 串联超前校正
2. 串联滞后校正
三. 连续时间差的预先更正
四. 超级前期调整和滞后调整之间的差异和关联
时区性能指标包括峰值时间、调节时间、高成像、阻力、稳定状态错误等等。
频域性能指标包括角宽度、范围宽度、校准频率、校准峰值、截断频率、闭环带宽等等。
频率调整用于工程和技术界。
带宽的频率是一个基本指示。
宽幅尺寸要求具备以必要的精确度跟踪输入信号的能力以及生成噪音干扰信号的能力。
在实际控制系统运行中,输入信号往往是低频信号,而噪音信号则是高频信号。

系列校正和反馈校准是控制系统最常用的两种校正方法,也可以同时使用。
合并校正的好处是简单易懂,便于构建,并得到广泛使用。
纠正反馈的好处包括使用较少的组成部分,更重要的是,能够限制内部参数变化对系统的影响。

PID(潜在综合差异)控制是一种类型的控制模式,通过将偏差信号e(t)转换成比例、点和分数计算产生。这是一种技术成熟、理论上可靠、在控制工程中经常使用的控制方法。

尽管大多数数学模型难以确定,但已知数学模型的控制系统或过程仍为已知。
PID控制参数简单易校准,提供多功能结构。
(Kp称为P控制器增益,通常 Kp>1 )

P控制器基本上是一个有可变增益的放大器。 信号的强度在不改变其阶段的情况下被改变 。
激活:在链校准过程中,提高控制器的收益,以增加系统的开环增益;降低系统的稳态误差;降低系统的相对稳定性,这可能导致闭环系统不稳定。




微控制具有预测能力。
微控制器只用于该系统的过渡过程,很少单独使用。
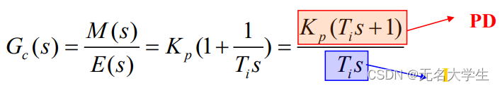
PD控制模式中的差别控制模式反映了输入信号不断变化的趋势,并产生了有效的早期纠正,以提高系统的抵抗力,从而改善其稳定性。
混合调整将使系统能够增加一个开口零点,提高系统的肌肉丰度,并改进系统的动态性能。




数字控制器可以增强系统类型,同时减少稳定状态错误。
尽管如此,还是引入了一个起始点,导致90度角滞后和系统不稳定。
因此,在大多数情况下,一个单一的I控制器是不能接受的。

来源地极点可以改进系统多样性,尽量减少稳定状态误差;负零点可以减轻起源地极点对系统稳定性和动态过程的有害影响。
由于存在数字控件, PI 控制器包含内存功能。




为了提高稳定状态的业绩,提高系统的形象,提高一级,并增加两个负零点,进一步改善稳定性和动态性能,与公共投资相比。
无源网络是首要目标,分为以下两个部分:超级上上下上上加上上
无源校正网络中的屏蔽部件
优点:调整要素的品质比较稳定。
缺点:由于产出抗药性提高,投入阻力降低,因此需要使用更多的放大器和隔离装置;没有提高放大增益,仅发生衰变。


预先纠正的目标是提高系统的动态性能。要实现一个静态和无损的系统,提高系统的动态性能。通过参与记录前部分,为了扩大系统的规模,使用其阶段性超级反对特征。更改系统的打开环频率属性 。该系统通常将纠正过程的最大部分前期化,并设立新的过境点。
特征:收益或类型不变,稳定状态精确度不变,这增加了系统的反应能力,即瞬时性能的改善。


这是政府首次决定就此问题采取行动。因此,该系统的开放循环的优势大大增加。同时,经校准的系统动态指标在系统中保持良好工作秩序。它使用落后校正链的低过滤器在不影响纠正后系统低频率特性的情况下,这是世界历史上第一次, 也是世界历史上第一次, 有史以来第一次。这是一个人第一次有机会前往全国各地。目标是改善系统阶段的充足性。
其特征包括低接入过滤器、频率特性小于或等于 0dB,以及更稳定的状态精确度(系统收益)。


特点:该系统的同步和稳定状态性能可同时提高,即配以快速反应和突出的稳定状态精确度
备用电路+直线 IO 放大器构成源校正网络。
优点:利用扩音器可以改变收益,使其方便用户和多功能化。
缺陷:这些特征很容易动摇。
除了速度发电机及其与被动网络的组合以及PID控制器之外,常用的主动校正装置往往将被动网络与扩音器操作的支线电路连接起来,以建立主动网络,获得所需的系统控制模式。
通过引入校正装置修改开环频率属性的形式,使校准后校正系统的开环频率属性具有以下特性:
(1) 低频带的增益足以确保稳定状态的准确性。
(2) 中频带的梯度为频率属性数的20dB/Dec, 和特定宽度的带宽,以保障可接受的宽度(45度);
彼此对低水平参数变化的适应能力不足。
彼此之间有很大的空间,但很难实现,无法满足经济需求,动态进程缓慢。
(3) 为了减轻高频噪音的影响,高频波段的波段值可能会迅速下降。
利用超级前端网络的角属性。
(a) 选择系统两侧的超前沿网络接口频率1/at和1/T,以及酌情选择参数a和T,以便能够使纠正后系统的截断频率和角宽度达到业绩指标标准,从而提高闭环系统的动态性能;
选择经过校准的后系统开放环状收益可以达到稳定状态业绩标准。
对书中提出的问题采取特别办法。

数字是L'=L'+Lc,因为对数与乘数相当。
输入前记录会提高系统开放循环截断的频率,改善闭环系统的带宽和反应速度。
对高频噪音的抑制不因序列的预先校正而有所助益。
使用时滞网的高频波段衰减功能来降低校准系统的截断频率,从而使系统具有足够的密度(这样时滞网的最大滞后角可以避免发生接近系统截断频率的情况)。
(左滞后,又超前)

当系统不稳定,校准系统的动态和静态性能(反应速度、相对丰度和稳态误差)很高时,显然光使用上述预先纠正或迟纠正是不可能产生必要纠正效果的,而是需要一系列拖延(预先纠正)是理想的。
(滞后超前校正)


本文由 在线网速测试 整理编辑,转载请注明出处。