36张图详解网络基础知识

      最后更新:2022-05-23 21:20:45 手机定位技术交流文章

      如果网络技术平台发生违规事件,请联系删除。


      网络协议

      当我们通过手机连接到互联网时将采用若干网络协议。从手机无线连接开始使用802.11(即WLAN)合同,局域网网络接入;自动接入移动电话的网络设置使用DHCP协议。当您拥有设置时, 您将能够正确互动 。移动电话现已与局域网连接。局域网拥有大量关于可能获得的设备和资源的信息。然而,因特网应用程序尚不能使用。例如,微字母,震动等等。想要访问互联网,还要求为移动电话在线设备订立协议。这是无线路由器 NET、 PPOE 和其他功能的设置 。此外,局域网通过运营商提供的互联网连接与互联网连接。移动电话将能够发送和接收电子邮件并在互联网上进行通信。


      网络协议示意图

      局域网:局域网。局域网包括家庭内部的网络、企业内部的网络和校园内部的网络。广域网(广域网)是连接不同地理位置的局域网的网络。广域网由跨区域网络运营商建立。因特网:全球因特网连通。互联网是一个开放和连接的网络。不属于任何人或任何机构。与任何互联网主机的通讯,只要能上网即可。

      简单来说,移动电话、无线路由器和其他装置通过许多网络协议进行互动。网络协定是一项标准或条例,允许各方相互交流。只要使用相同的网络协议,该装置就能够进行通信。那么,谁创造了协议?OSI是国际标准化组织制定的一项国际标准。在制订网络协议时经常使用现场视察参考模型。


      OSI 参考模型

      根据OSI参考模型,网络协议的服务分为七个层次。它还具体规定了每个服务级别的内容。这是一项提供各级服务的合同。条例是协定的特定内容。上下两级通过接口进行交流。经商定,同一层相互作用。OSI参考模式只对各级服务作了广泛的概述。协议没有具体的定义。然而,许多协定与七个层次中的一个相对应。所以要了解网络,第一步是理解OSI参考模式。


      应用层

      应用层协议包括电子邮件、远程登录等。 OSI 参考模型的第7级(顶级) 应用程序和网络之间的界面直接为用户提供服务。


      表示层

      OSI 参考模式的第6级。 监督数据格式转换, 如编码、 数据格式转换和加密解密。 确保一个系统应用级别生成的信息可以由另一个系统阅读 。


      会话层

      主要作用是管理和协调不同主机程序之间的沟通(对话),即应用程序的创建、管理和终止之间的沟通(对话)。


      传输层

      只在通信主机而不是路由器上提供。 为高层协议提供通信主机之间可靠和透明的数据传输服务,包括处理错误管理和交通控制等问题。


      网络层

      OSI参考模型第三级:通过网络将数据传送到目标地址,主要用于地点和路线选择。


      数据链路层

      OSI参考模式的二级。他负责两个连接的主机之间的通信实际传输。0 1 位元流将分隔成数据框,相互传输。也就是说,数据框架是生成和接收的。实际传输媒体被用来进行通信传输。数据连接层的任务是处理传输频道连接的各种设备之间的数据。

      网络层和数据链接层都负责根据目标地址向接收端发送数据,但网络层负责向最终目标地址发送完整数据,而数据链接层只负责发送部分数据。


      物理层

      OSI参考模式第1级(最低层)负责逻辑信号(位流)与物理信号(电信、光信号)的相互作用,以便通过传输介质向数据链层提供有形连接。


      TCP/IP的参考模型

      由于OSI参考模型对服务的描述太细,在确定议定书之前最好先指定参考模型,而现有协定所描述的TCP/IP模型则成为该行业真正的网络协议标准。

      TCP/IP是经互联网信托基金建议的一项支持标准化协议,是诸如IP、TCCP、HTTP等一系列协议的集合。 TCP/IP是为互联网使用设计的用户,因此互联网协议是TCP/IP。

      首先,界定TCP/IP和OSI层之间的关系,以及各级基本的TCP/IP协议。


      网络接入层

      TCP/IP所依据的假设是,OSI参考模型的物理和数据链层是透明的。这两个层次没有定义。因此,网络接入层可通过将物理层与数据链层结合起来而形成。网络接入层负责管理网络媒体。指定如何在网络中发送数据。然而,这两个层次的沟通方式不尽相同。因此,还存在物理层和数据连接,分别称为硬件型和网络界面层。TCP/IP可分为四层或五层。简单理解推理

      物理传输媒体将设备与相关设备连接起来,相关设备使用MAC地址传输数据,使用MAC地址识别与同一传输介质相连的装置。

      网络层

      IP协议以IP地址为基础,转让分包数据,从而将软件包从源地址发送到目的地地址。

      操作系统通常提供TCP/IP层的网络和传输层操作,路由器是能够传输数据包的网络层。


      网络传输中,每个节点将以数据地址信息为基础。确定哪些网页卡应传递信息。每个地址将与传输界面列表相关联。该表称为重新公布的MAC地址,MAC地址是MAC地址。路由控制表也用于指IP地址。在自学的基础上,自动创建MAC地址。根据路线协议自动创建路线控制表。MAC地址作为真正的MAC地址保存。路径列表的 IP 地址是集中后的网络号( 即网络地址和子网络遮罩) 。

      • IPIP是一个协议,在网络上提供数据包,使用IP地址作为主机,让整个互联网接收数据,IP协议独立于底介质,允许数据从来源到目的地传递,IP协议缺乏改变路由的机制,是低可靠性传输方法。
      • ICMP用于在IP主机和路由器之间发送控制信息,以及评估网络健康。
      • ARP从软件包的IP地址推断出MAC地址协议。
      传输层

      OSI模式第四层的基本作用是使应用程序能够相互交流,所使用的议定书通过港口编码识别应用程序将TCP议定书和未连接的UDP议定书联系起来。

      连接是为了在发送数据之前在发送者和发送者之间建立逻辑的通信联系。 与正常的电话通话一样,一旦输入对方的电话号码,只有其他人才能真正拨打电话,电话将被打开,就像电源被中断一样。

      非连接方向并不要求连接的建立和断开。 传输器可以随时发送数据。 与发送信件一样, 也没有必要认证收件人信息的合法性, 或者收件人可以接收信件, 只要有发送地址即可 。


      添加不超过140个字符的照片注释(可选)。

      • TCPTCTCP是一个连接传输层协议,可规范它所提供的联系,用于需要可靠传输的应用,如VoIP。
      • 对于诸如IP电话、视频会议、现场广播等实时应用,UDPUPUDP是一个不连接的传输层协议,不管理它所提供的连接。
      应用层

      OSI模式的5-7级等同。你不仅了解OSI模型应用层的能力届会层和代表层也必须完成。应用层包括HTTP、POP3、TELNET、SSH、FTP和SNMP。

      TCP/IP的架构主要是客户/服务端模式,服务供应商称为服务供应商,服务接收人称为服务客户,客户可随时向服务器提出请求。


      • HTTP 是一个WW浏览器与服务器之间的应用程序级通信协议, HTML 是主要数据格式。 HTTP 指定浏览器可以用来连接网络服务器的高级指示或方法 。
      • 邮件客户端和邮件服务器均使用POP3基本邮件传输协议。
      • TELNET和SSH是用于远程网络设备管理的远程终端协议。TELNET是一种快讯,而SSH是一种加密的传输传输传输SSH是远程网络设备管理的远程终端协议。TELNET是一种快讯,而SSH是一种加密传输。
      • SNMP简单网络管理规程用于网络控制和管理网络装置的网络应用。
      封装与解封装

      通常,协议信息位于包包的顶端。要传输的数据是内容。每个分层中,发送的数据全部连接到头部 。此标题包含此级别信息所需的信息 。如果发送目的地地址以及有关协议的信息。在下一层的角度看,该层认为从前层收到的所有包件都是数据。

      在发送数据之前,按照参考模型,从上到下添加商定的电文头信息,这一程序称为封条。


      在收到数据后,数据从下到顶,从下到顶,随着数据通过每一层,协议头信息被删除,这是一个被称为不封闭的过程。


      传输级别协议信封被称作一个段后的数据,网络级别协议信封被称作一个包件后的数据,数据链级别协议信封被称作一个框架后的数据,通过物理层发送的数据被称作Bit。

      在TCP/IP通信中,MAC地址、IP地址和端口号等信息被用于确定地址,即使在应用层,也可以使用电子邮件地址作为网络通信的地址。

      实际数据传输举例

      实际上,互联网是通过TCP/IP协议连接起来的,例如,我们可以检查网站,看看网络是如何互动的。


      发送数据包

      如果您访问 HTTP 网站, 打开浏览器, 输入网站, 按回键, 并启动 TCP/ IP 连接 。

      应用程序处理


      首先,应用程序将以 HTML 写入 。OSI-等效表达式层功能。编码转化后,我不确定我能不能马上提交会话层的等值 。在提出请求时,连接 TCP,数据通过TCP连接发送。然后将数据发送到下一级TCP处理。

      TCP 模块处理


      TCP无缝地将数据从应用层传送到目的地。为了实现可靠的传输功能,TCP 信头信息必须加密才能传输数据。TCP头条信息包括源码和目的地端口号(用于识别主机上的程序)、序列号(用于识别哪些部分是数据)和校验总和(用于确定数据是否腐败)。此后,TCP信头部分被密封并送交IP。

      IP 模块处理


      IP将IP头信息封装在TCP传输的数据部分中。IP头信息包括目的地IP地址和IP源地址,以及关于高级协议类型的信息。

      当 IP 软件包 创建时, 表格中的数据将传送到主机线路上 。

      网络接口处理


      网络接口覆盖因特网核心信息,并将信息传送到收到的IP包。MAC地址(通常称为MAC源地址)显示在系绳网顶部。此外,还包括关于高级别程序的资料。数据框随后通过物理层传送到接收端。硬件计算发送程序 FCS 。 添加到包的最后。FCS用于检测包件是否因噪音而损坏。

      接收数据包

      软件包接收程序是发送进程的反向 。

      网络接口处理

      收到以太网包后,首先,确定MAC地址的头条信息是否旨在发送您自己的软件包。如果你不寄给自己就扔掉如果这是针对自己的包裹,IP 软件包是高级协议类型 。作为IP软件包,以太网框未加封闭。发送到 IP 模块处理 。如果您无法确定协议的类型,则丢弃数据。


      IP 模块处理

      收到 IP 包后,进行类似处理。IP 地址控制控制, 不论软件包是否被发送到它自己, 取决于头条信息的目的 。如果这是针对自己的包裹,以检查前一层是什么样的协议TCP是协议的最后一级。无法删除文件夹“{0}”。


      如果有路由器,且接收目的地不是自己的地址,则通过路线控制表发送数据。


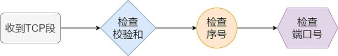
      TCP 模块处理

      检查检查总和并核实数据是否在接收 TCP 段落时被删除。 数据随后按序列号进行核实, 以便接收。 最后, 检查端口号以确定具体应用 。


      收到数据后向发送者发送确认答复。如果该答复未送达发送者,发送者将假定接收者未收到数据,并将再次发送。

      在收到所有数据后,将打开TCP段并转发给由端口号指定的程序。

      应用程序处理

      收到数据后,应用程序对数据进行剖析,以确定发送者所要求的页面内容,随后的数据互动按照HTTP协议进行。

      网络构成


      网络建设中使用了各种电缆和网络设备,此处列出了一些通用硬件设备,硬件设备是指OSI参考模型,而不是TCP/IP模型。


      通信介质与数据链路

      电缆电缆有双重扼杀、光纤、连续喷嘴等等。 根据数据链接选择匹配的电缆。 传输介质也可以分离成不同类型的电波, 如电波、微波等 。

      传输率: 以每秒位数表示, 指在一个时间单位中传输的数据数量。 带宽: 带宽越大, 网络传输能力改善率越大: 以每秒位数表示, 指一个时间单位中传输的数据数量。 带宽: 带宽越大, 网络传输能力越大 。

      托盘 : 东道方之间的实际传输速率, 以每秒位数计。 单词传输量不仅衡量带宽, 而且还衡量诸如主机 CPU 处理能力、 网络拥塞和文本数据字段共享等信息 。

      网卡

      当主机连接到网络时必须使用网卡。 这可以是连接到有线网络的有线网络卡, 也可以是连接到无线网络的无线网络卡。 每张卡都有单一的MAC地址, 也称为硬件地址或实际地址 。


      二层交换机


      第二层开关位于OSI模型第二层(数据链层)上,识别数据链层中的数据框架,并将其发送到另一个相关数据连接处。

      数据框包含一个称为 FCS 的数据字段,用于验证数据是否成功传输到目的地。通过检查此值,二级开关丢弃损坏的数据。

      根据MAC处理的自学程序,二级开关决定是否发送数据框架。

      路由器/三层开关


      路由器是一个在OSI模型的三级(网络层)两个网络之间连接和发送信息的设备。使用MAC地址处理二级开关。而路由器/三层开关则是根据 IP 地址进行处理的。因此,TCP/IP中级地址被称为IP地址。

      路由器可连接到各种数据线,例如将两个以太网或一个以太网连接到一个无线网络。 典型的家用无线路由器也是一种路由器。

      四至七层交换机


      在OSI结构中,四至七层开关处理从传输层到应用层的数据。根据协议的传输层,如TCP及其上方的应用层,分析收发数据,这个问题得到了准确处理。例如,视频网站的一个服务器不符合访问要求。另一方面,有很多事情可以做, 有很多事情可以做, 有很多事情可以做。这是一个四到七层的改变。其他用途包括带宽管理、广域网加速器、防火墙等。

      总结


      计算机、移动电话和服务器是应用级设备的例子。数据不是在应用程序级别发送的 。这些是数据的来源或目的。在应用层后面,应有若干层次的功能。发送数据时,从上而下的顺序,数据是逐层加密的层。数据通过以太网发送。接收数据时,从下而上的顺序,信息是逐层解开的。终于回到原始数据。


      数据链层配有二级开关、网络桥梁等。两层网络仅用于数据传输。数据通过识别MAC地址发送。一旦第二层开关收到数据以太网顶部可见数据最外层的数据视图。在了解停战委员会地址数据的重要性之后,从适当的港口传输数据框架。数据框不是由切换器解封的。只要知道停战委员会地址,数据就可以成功传输。


      路由器、三层开关和其他网络级设备就是例子。三层网络仅用于数据传输。通过确定IP地址转发数据。路由器接收数据后,先看看以太网的顶部 最外层的顶部当目的地MAC地址与MAC地址来源相同时,它将从网络的顶部取出。见数据IP地址。当选择前进是基于 IP 列表时,路由器将使用下列跳跃器的MAC地址作为Tainet的最高MAC地址。重述网页的顶部并传递信息。


      传送数据的网络设备和应用级别类似于信使和包裹,信使根据目的地地址递送货物,不必知道包裹的内容。

      使用分层功能将网络设备分开已不再适用;开关集成三层路由器功能是三层开关功能,无线AP集成路由器功能是无线路由器,但为了便于展示,经常说明具体设备的功能和逻辑。


      本文由 在线网速测试 整理编辑,转载请注明出处,原文链接:https://www.wangsu123.cn/news/25997.html

          热门文章

          文章分类