最后更新:2022-07-05 01:56:55 手机定位技术交流文章
这里所有的焦点是老师的绘画测试点,也许与学校的重点不同了哈,你能先看看目录,选择吃吗?
课后习题第20题
网络结构为什么使用层次结构? 让我们尝试一些与日常生活中的层次结构相似的想法。
每个层是独立的,一个层可以使用另一层提供的服务,而不需要知道服务是如何实现的。
2.灵活性是好的。 当一个层发生变化时,只要其界面不变,所有上层或下层的层均不会受到影响。
每个层都可以采用最合适的技术实现
④易于实现和维护。
5可以促进标准化工作。
邮政系统和物流系统在日常生活中具有类似的层次结构。
(一)两个参考模型:OSI参考模型 TCP/IP参考模型

每个层的基本功能(从上到下)
应用层:应用层是系统结构中最高的层。 应用层的任务是完成特定网络应用程序的应用程序过程之间的相互作用。应用层协议定义了应用过程间通信和交互的规则.这里的进程是指在主机上运行的进程。对于不同的网络应用程序需要不同的应用程序层协议.在互联网上有许多层级协议,例如,域名系统DNS,HTTP协议支持通用网络应用,SMTP协议支持电子邮件,等等。我们称之为应用程序层交互信息的数据元素。
传输层:传输层的任务是==为两个主机中的进程之间的通信提供通用数据传输服务。==应用程序进程使用该服务发送应用程序层消息。"通用"指多个应用程序可以使用相同的传输层服务。因为一个主机可以同时运行多个进程,因此, 运输层具有重用和共享的功能.复制是一个服务,其中多个应用程序层进程可以同时使用下列传输层。分用和复用相反,该传输层将接收的信息单独传递到上面的应用程序层的相应进程中。
运输层主要使用下列两项协议:
网络层:负责网络层向不同主机提供互联网上的团体交流通讯服务。在发送数据时,网络层传输由传输层生成的消息段或用户数据消息包组件或包。在TCP/IP系统中,因为网络层使用IP协议,因此,分组也称为IP数据报告,或简称为数据报。该书使用“子组”和“数据报告”作为同义词。
网络层有两个特定的任务。第一个任务是通过某种算法,每个网络路由器生成一个传输出版物,用于传输子群。**第二个任务是每个路由器接收一个子集,根据路由释放中指定的路径, 子集被传输到下一路由器.**使得组件从源主机传输层传递下来,可以通过适当的路线到达目的地的东道主。
互联网通过路由器由大量的异构网络相互连接.互联网所使用的网络层协议是未连接的互联网协议(IP)和多种路由选择协议,因此,网络层也被称为网络层或IP层。在本书中,网络层、网络层和IP层是同义词
4数据链接层:数据链接层常被称为链接层。我们知道,两台主机之间的数据传输,它总是经过一个链子,这需要使用专门的链层协议。在两个邻接节点之间传输数据时,数据链层将IP数据消息汇集,将网络层传递到帧中。一个帧在两个邻近节点之间的链中传输.每个帧包含数据和必要的控制信息(如同步信息、地址信息、错误控制等)。简单说就是负责固定格式的顶层数据格式化
物理层: 物理层上传输的数据单位是位数.当发送者发送1(或0),接收者应该接受1(或0)而不是0(或1)。因此,物理层应该考虑“1”或“0”表示多少电压,以及接收机如何识别发送者发送的位数。物理层也决定了多少杆和每个杆应如何连接到连接电缆。当然,**解释咬人的代表的意义,不是物理层的任务。**请注意,一些物理媒体用于传输信息,例如, 双线 、 轴线 、 光线 、 无线电通道等.不是物理层协议内,这是在物理层协议下。因此,一些人认为在物理层以下的物理传输介质是第0层。
简单说就是:确定与传输介质的接口有关的一些特性,如机械特性、电特性、功能特性和过程特性。

(3)层间关系
实体:在研究开放系统信息交换时,更抽象的实体通常用来指任何能够发送或接收信息的硬件或软件过程。
协议(英语:Protocols):协议是控制两个或多个相同实体的通信的一套规则。协议语法规则确定交换信息的格式,协议语义规则规定发送方或接收方应执行的操作,例如,在何种条件下,数据必须重新传输或丢弃。
在协议控制下,两个相同的实体之间的通信使该层能够向下层提供服务。 为了实现顶层协议,必须使用下面提供的服务。
协议和服务的概念不同:
两层邻近实体在同一系统中相互作用(即交换信息),它通常被称为服务访问点(SAP)。服务访问点SAP是一个抽象的概念,它实际上是一个逻辑接口,有点像邮箱(你可以把邮件放在邮箱里,然后把它从邮箱里拿出来),但此层接口与两个设备之间的硬件接口(平行或串行)不同。OSI是指层间交换的数据单元,称为服务数据单元(SDU)。它可以与PDU不同。例如,可以把多个SDU组合成一个PDU,SDU也可以分成几个PDU。
协议数据单元(英语:protocol data unit,缩写为PDU)是一个数据单元,它在相同的层间传输。协议数据单元(PDU)的物理层是数据位。数据链层的PDU是数据框架.网络层的PDU是一个包,传输层的PDU是段,其他高级别的PDU是数据。
这样,如图1-18所示,可以总结任何邻近两层之间的关系。这里要注意的是,第九层的两个“实体”之间的通信通过“协议”进行,n+1层的两个“实体(n + 1)”通过另一个“协议(n + 1)”通信(每个层使用不同的协议)。n级向上面n+1级提供的服务实际上包括在其下层提供的服务中。n级实体相当于n+I级实体作为服务提供者。服务提供者最高级别的实体也称为“服务用户”,因为它使用低级服务提供商提供的服务。
简单说就是,每个层通过层接口,基于相应的网络协议,使用下层的服务,结合该层的功能,并提供上层的服务

计算机网络的最常用的性能指标是:速度、带宽、吞吐量、延迟(传输延迟、传输延迟、处理延迟、队列延迟),延迟带宽、返回时间和频道(或网络)利用率。
(1)速度:网络速度,单位:bit/s或b/s或bps当指的是网络的速度时,它通常被称作评级速度或名义速度,而不是网络实际运行的速度。
注:1B=8位,1Mbit=220B=220* 8 bit, 1MB/s=106bit/s
在计算机网络中,带宽是用来表示网络中一个通道传输数据的能力,因此网络带宽是网络中一个通道在单位时间内通过的最高数据速率。bit/s通信链的带宽越大,其传输的“最高数据速率”就越高。
(三)负载容量:通过网络(或通道、接口)的实际数据量在单位时间内。bit/s
主机对互联网的实际吞吐量,这取决于互联网的具体情况。假设主机A和服务器B分别在100Mbit/s和1Gbit/s之间访问互联网。如果每个互联网链接的容量足够大,所以当A和B交换数据时,它的吞吐量显然应该为100Mbit/s。这是因为,尽管服务器B能够以超过100Mbit/s的速度发送数据,然而,主机A接收数据的最高速度为100Mbit/s。现在假设有100个用户同时连接到服务器B(例如:同时观看B服务器发送的视频程序。在这种情况下,连接到互联网的服务器B的网络容量为100用户,每个用户平均带宽只有10Mbit/s。这时,主机A连接到服务器B只有10Mbit/s的带宽。
(4)延迟(传输延迟,传输延迟,处理延迟,队列延迟):延迟指数据(消息或子集,甚至比特(bits)从一个网络端(或链路)到另一个端所需的时间。延迟是一项重要的业绩指标,有时被称为延迟或延迟。
发送延迟:服务器或路由器发送数据帧所需的时间,也称为传输延迟
传输时间延迟:是电磁波在通道中移动一定距离所需的时间
处理时间延迟:当主机或路由器接收一个子集时,处理它需要一定时间,例如分析子集的第一个部分,从子集中提取数据,检查错误,或搜索并重新发布它。
4队列延迟:当一组通过网络传输时,要经过许多路由器。但组在进入路由器之前在输入队列中等待处理。在路由器确定继电器接口后,在输出队列中还有等待传输的队列。这导致了队列的延迟。队列延迟的长度和持续时间往往取决于当时网络中的通信量。当网络有大量通信时,队列溢出会发生。使分组丢失,这相当于排队时的无限延迟。
(5)时延带宽积

返回时间RTT:互联网上的信息是双向的,通过知道一个双向的相互作用的时间来计算数据的有效率

当使用卫星通信时,RTT的返回时间相对长,这是一项重要的性能指标。
(7)利用率
通道利用率:表示一个通道使用的时间的百分比(数据通过)。完全空的通道的利用率是零。
网络利用: 是整个网络的渠道利用权重平均.
如果令D0D表示当前网络延迟(假设当前网络利用率为U),因此根据正确的假设,可以使用以下简单的公式来表示D和D0利用率U之间的关系是:

物理层的主要任务就是确定与传输介质的接口有关的一些特性,如机械特性、电特性、功能特性和过程特性。
课后习题第1 题
物理层应解决哪些问题?物理层的主要特点是什么?
物理层要解决的主要问题是:
物理层应尽可能宽保护物理设备和传输媒体不受通信手段的差异,使数据链层不会感受到这些差异只考虑在这一级别完成协议和服务。
(2)其服务用户(数据链层)在物理传输媒体上上传、传输和接收位流(一般是序列传输的位流)的能力为此,物理层应解决建立、维护和释放物理连接的问题。
(3)数据电路是两个相邻的系统之间唯一可识别的.
物理层的主要特点:
(1)因为在OSI之前,许多物理协议或协议已经开发出来,在数据通信领域,这些物理规则已经被许多商业化的设备采用,加之,物理层协议的范围广泛,因此,没有根据OSI的抽象模型开发新的物理层协议。而不是遵循现有的物理规则,物理层是用来描述与传输介质的接口的机械 、 电 、 功能和调节特性.
(二)由于有多种形式的物理连接,有多种形式的传播媒介。具体物理协议相当复杂。
数据通信系统可以分为三个主要组成部分,即源系统、输送系统及用途系统.源系统包括源点(或源站、接收机)和发射机,目的地系统包括接收机和端点(或源站、接收机)。
数据: 发送信息的实体.
信号: 是数据的电磁表现.
模拟信号: 或连续信号, 代表消息参数的连续值.
数字信号: 或离散信号, 表示消息参数是离散的.
基带调制: 简单地转换基带信号的波形,以便它能够适应信道特性. 转换后的信号仍然是基带信号. 因为这种基带调制将数字信号转换成另一种形式的数字信号, 所以最好叫这个过程编码。
带宽调制: 使用载体调制基带信号的频率范围到高频带,并将其转换成模拟信号,以便在模拟通道中更好地传输。
基波信号:来自信任源的信号。 数据信号代表各种字符或图像文件,例如计算机输出,属于基波信号。
通过传送器传输的信号。
将信息传递到特定方向的媒介。
仿真通道:模拟信号传递连续值,各种传输媒体一般可以传递仿真信号
数字频道:传输离散的数字信号,解决频道与计算机之间的接口问题
单向通信(英语:One-way communication),又称单向通信(英语:One-way communication),是单向通信,没有反向交互。
双向通信也称为双向交换通信,即双方可以发送信息,但不能同时发送(当然不能同时接收)。
雙向同時通訊也稱為雙向同時通訊,意思是兩方同時傳送和接收資訊。
(一)共同基波调制方法的编码方法:
如果波形为0,则波形没有变化,如果波形为1,则波形正好相反;也就是说,如果我发送0,则波形不会跳,如果我发送1,则代码元素反转
(二)通用宽带调制方法:
波特率是多少,它有什么作用
(1)坐标:代表数字信号的不同离散数值的基本波形
(二)端口速率:又称代码传输速率、代码速率、单位时间传输的代码数(脉冲数或信号变化频率)
比特率:又称信息传输率,单位时间传输的二进制比特数
(4)尼格斯定理:在带宽W(Hz)的低通信路径中,若不考虑噪声影响,最快速的编码器传输速率是2W(编码器/秒)。如果传输速度超过此限度,会有严重的代码干涉问题,它使得接收机无法判断(即识别)编码器,例如,该频道的带宽为400Hz,然后传输的最高系数是每秒800系数。
(五)Shanon定理:C通道的最大传输速度是
信道的带宽越高或信道中噪声比越高,信息的最大传输速度越高。
(六)信号噪声比:信号的平均功率与噪声的平均功率的比,通常称为S/N,以dB为测量单位,换句话说:
例如,当S/N = 10时,噪声比为10dB,当S/N = 100时,噪声比为30dB。
像素速率和像素速率之间有联系,又有区别。比特率描述数据,频率描述信号. 我们知道,数据由一个信号表示。如果字符数元素只代表1位,因此比特率和波速是相同的。如果代码元素可以代表 n 位信息,那么比特率是比特率的n倍。转换公式为C = B * log2N(C表示比特率,B表示比特率,N表示进化)
课后习题第6题
6.重信道数据传输速度的限制是什么?信号噪声比可以任意增加吗? Shannon公式在数据通信中的意义是什么?每秒的比特和每秒的系数之间的区别是什么?
答:1.信道中的数据传输速度受带宽和噪声比等因素限制。
2.噪音比不能任意提高。
3. Shannon公式的意义:只要信息传输速度低于信道传输速度的限度,必须有某种方法实现无误传输。
4.bit/sec是信息传输速率的单位,编码传输速率也称为调制速率、波形速率或符号速率。
传输介质可以分为两种主要类型:导引传输介质(双线、轴线或光纤)和非导引传输介质(无线电、红外线或大气激光)。
==双绞线 ==
双线是本地网络中最常用的传输介质,分为屏蔽双线和非屏蔽双线。 各线互连的目的是尽量减少通信线路间的电磁干涉。
特点:
光纤
光纤是传输介质的性能和应用中最好的一种。 光纤传输有两种方式,单模式光纤优于多模式光纤
连接纤维的最基本方式是点接点连接,纤维不熟悉外部电磁干涉和噪声的影响,在长距离和高速传输中保持低误差系数。
影响纤维传输距离的主要因素是:传输模式、纤维频率、纤维大小
物理层协议所指定的物理参数主要包括:传输模式、向上光纤和下光纤波长频率、光线大小、光学接口和光纤的最大传输距离。
由于单个纤维可以被外部力量弯曲,因此需要使用其他高强度材料将多个纤维包入电缆。

光纤不仅具有非常大的通信能力,而且具有一些其他特点:
==无线电波 ==
常用的通道重用技术存在频率复制 、 时间复制 、 统计时间复制 、 代码复制和波浪复制(光的频率复制)。
最基本的复制是频率复制和时间复制(a)频率分段,(b)时间分段
时间共享TDM:常见的时间共享被称为同步时间共享,所有用户在不同的时刻占有相同的带宽,而时间共享对数字信号的传输更为有利
统计时间重复使用STDM:改进时间重复使用显著改善了渠道的使用
使用FDM的频段分割:每个路径信号同时占有不同的带宽资源
频率调制WDM:是光的频率调制,最初仅用于纤维复制双向光载体信号
密集波分区重用:现在可以重用纤维上数十条或更多的带光波信号的路径。
代码一致的CDMA:当代码一致的频道由多个不同地址的用户共享时,它们被称为代码一致的多地址CDMA
仿真传输: 传输模式分为导线型和非导线型。 导线型有双线、轴线或纤维、非导线型有无线、红外或大气激光
数字传输:由于数字传输比模拟传输更好,可以先将模拟信号转换成数字信号,然后在通道上进行数字传输。 模拟信号转换成数字信号的常见方法是脉冲编码调制(PCM)。
早期数字传输有两个主要缺点:统一速度标准,而不是同步传输
(一)框架:由网络层向数据链层传输的IP数据成为框架的数据部分。 框架的数据部分的前部和后部分别加入顶部和底部,形成完整的框架。 这些框架是数据链层的数据传输单元框架长度 = 框架的数据部分长度 + 框架的第一个部分长度 + 框架的最后部分长度。第一个和最后一节的一个重要部分是框架边界(即框架的边界)。此外,头部和尾部也包含许多必要的控制信息。在发送帧时,它是从帧的开头发送的。所有类型的数据链层协议都有明确的格式规定。为了提高帧的传输效率,帧数据的部件长度应尽可能大于帧的第一个和最后部件。但是,每个链层协议都指定可以传输的数据帧的局部最大长度——最大传输单元(MTU)。图3-4显示了框架的顶部和底部的位置,以及框架的数据部分与MTU之间的关系。
当数据是一个由可打印的ASCII代码组成的文本文件时,框架边界可以用一个特殊的框架边界字符.ASCII代码是7位编码,總共可結合128個不同的ASCII碼。其中,95件可以打印出来,有33个不可打印的控制字符。图 3-5 的例子说明框架边界的概念。控制字符SOH(Start Of Header)放在帧的前面,表示帧的首部开始。另一个控制字符,EOT(End OfTransmission),表示帧的末端。请注意,SOH和EOT是控制字符的名称。它们的16行代码分别是01(001)和04(00100)。SOH(或EOT)不是三个字符S,O,H(或E,O,T)。此外,为了强调帧界限器的作用,与框架界限器无关的控制信息在图 3-5 中省略。
帧边界函数: 假设一个帧没有被发送时,发送器突然失败.中断了发送。但不久之后,它恢复正常,然后从开始重新发送未发送的帧。由于使用帧界限器,接收器知道收到的数据是一个不完整的帧(只有第一个启动字符SOH,没有传输端字符EOT),必须丢弃。之后收到的数据具有清晰的框架边界(SOH和EOT),这是一个完整的框架,应当收下。
(2)透明传输
透明传输是什么:当帧由文本文件组成时(文本文件中的字符都是键盘的输入),数据部分不在像SOH或EOT这样的帧边界控制字符中出现。你可以看到,无论从键盘中输入什么字符,都可以在这样的帧中传递,因此, 这种 传递 是 透明 的 。
但当数据部分不是 ASCII编码的文本文件(如二进制编码的计算机程序或图像),情况就不同了。如果数据中的单节点的二进制代码与控制字符SOH或EOT完全相同(如图 3-6所示),数据链层将错误地“找到帧的边界”,删除帧的一部分(误认为是完整的帧),然后丢弃其他数据(这个部分不能找到帧边界控制字符SOH)。这种传送方式并不透明
解决透明传输问题:使用节点或字符填充的方法,传输器数据链层在数据中出现的控制字符“SOH”或“EOT”之前插入“ESC”字符(它的16英寸编码为1B)第二行为 0011011。在接收端,数据链层在发送数据到网络层之前删除插入的翻译字符。
(3)差错检测
微量误差:微量误差是一种类型的误差,其中1可以变为0.0可以变为1。
误差率是误差率与传输 bit 总数的比率,它与噪声率有很大关系,如果噪声率增加,误差率可以降低,但实际的链路通信并不理想,因此降低误差率到零是不可能的
循环冗余检测CRC:为确保数据传输提供可靠的信息,用于计算机网络数据传输的误差检测措施。
在接收器上,接收数据由CRC单元对帧进行检查:每个接收帧由相同的P数分隔(模型2),然后对结果的剩余R进行检查。
(1)如果得到额外的 R=0, 如果确定没有错误,则接受帧。
(2)如果剩余的 R ≠ 0,它被丢弃来确定帧是错误的(但不能确定哪一个或几个错误发生)。
这包括计算问题,寻找冗余代码,以及观察课后练习的具体过程
CSMA/CD基本原则:
Ethernet采用的协议是多点访问CSM/CD载体监视与冲突检测。
协议的关键在于在发送之前先倾听,边发送边监听,一旦发现线上有碰撞,就立即停止发送。然后根据回避算法等待一个随机的时间,然后再发送。因此,每个单元都代表发送数据后的短时间,有碰撞的可能性。互联网上的所有网站都同样竞争使用Ethernet通道。
CSMA/CD的工作原理可以概括如下: 先听, 再听, 再听, 再听, 再听, 再听, 再听, 再听, 再听, 再听。

信道利用率:
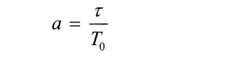
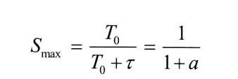
如图3-21所示,为了增加网路使用率,必须减少T和T0参数a在Ethernet中定义,是Ethernet单线程端到端时间t和帧T的发送时间之间的延迟0之比:
只有当参数 a 远低于 1 时,才能得到最大通道利用。反之,如果α参数大于1(即所有碰撞发生,浪费相当大的数据传输时间),最大通道利用率远低于1,而实际渠道利用率则较低。据统计,当网络的使用率达到30%时,它已经处于过载状态。网络的许多容量被互联网碰撞所消耗.
以太网硬件地址,即MAC地址,实际上是适配器地址或适配器标识符,不管主机在哪里。 源地址和目的地地址长48位,长6位。
MAC的结构
目前的IEE注册局(RA)是W-IEERA,负责分配地址字段的六个数字的第一三个数字(即24个高级数字)。
地址字段的最后三个字符(即低位24位字符)由制造商自己指定,称为扩展标识符,只要保证生产的适配器不会重复地址。
IEE 指定地址字段的第一个节点的最低有效位为 I/G.IG 代表 Individual/Group.当 IG 为 0 时,地址字段代表一个单站地址.当 IG 为 1 时,群地址用于多播(以前翻译为群播)。
IEE 还 认为, 可能 有 一些 人 不想 从 IEE 的 RA 购买 OUI 。为此,IEE将地址字段的第一个节点的最低第二位设置为G/L位,全球/本地。全球管理时G/L为零(确保全球没有相同地址);制造商从IEE购买OUI属于全球管理.当地址字段的G/L为1时,此时, 用户可以将任意地址分配给网络.两个字节的地址字段都由本地管理。但应当指出,Ethernet几乎忽略了这个G/L位数。
MAC的表示
代表MAC地址有三个方法,例如MAC地址448A5B73B3A1可以代表为:
帧结构


快速的Ethernet,也被称为100BASE-T,是星系拓扑以太网在双线线路上传输100Mbit/s基带信号,IEE 802仍然使用。用户只能使用100Mbit的适配器和100Mbit/s的连接器或开关,从10BASE-T Ethernet直接升级到100Mbit/s,方便不需要改变网络的拓扑结构。所有10BASE-T的应用程序和网络软件都可以保持不变。100BASE-T适配器高度适应性,它可以自动识别10Mbit/s和100Mbit/s。
快速Ethernet可以使用Ethernet交换机提供良好的服务质量,可以在完全任务模式下工作而不发生冲突。因此,CSMA/CD协议不适用于全双plex Ethernet(但在半双plex中使用CSMA/CD协议是必要的)。MAC框架格式仍然是IEE 802.3标准指定的框架格式。
IEE 802.3u标准不包括对轴向电缆的支援,因此用户需要从亚线以太网升级到高速以太网必须重新接线,因此现在10/100Mbit/s以太网全由无屏蔽的双线电缆接线
100 Mbit/s 新的Ethernet标准改变了原来的10 Mbit/s Ethernet的某些规定。我们知道,以太网有一个重要的参数,它必须保持在非常小数目.可以看出,为了保持参数不变,可以保持以太网单线延迟和传输速率的乘数不变。如果在框架长度的某些条件下数据速率增加到10倍,网络电缆的长度可以减少到原来的数值的十分之一.

100 Mbit/s Ethernet中使用的方法是保持最短的帧长不变。用于100Mbit/s以太网铜缆,网格的最大长度是100米,最短的帧仍然长64字节,即 512比特。因此,100Mbit/s Ethernet争议期为5.12 Us,帧间的最小间隔现在是0.96us,它是10Mbit/s的十分之一。
虚拟专用网:公共互联网作为机体专用网络之间的通信载体
工作原理
假设一个组织在两个遥远地点建立了一个专门的网络A和B,他们的网络地址分别是专门的地址。
显然,每个网站必须至少有一个合法的全球IP地址的路由器,例如,图 4-64(a)中的路由器R和R。路由器和互联网接口地址都必须是合法的全球IP地址。路由器R1和R2在专用网络内的接口地址是专用网络的本地地址。在每个地点,A或B内部的通信不会通过互联网。
如果A站点X想与另一站点B站点Y进行通信,则必须通过R1和R2路由器。
1. 从 X 主机 发送 到 Y 主机 的 P 数据 消息 的 来源 地址 是 目标 地址 。 该 数据 消息 首先 从 X 发送 到 连接 到 互联网 的 路由器 R 1 的 内部 数据 消息 。
2.路由器R1收到内部数据消息后,发现其目的网络必须通过互联网实现,加密整个内部数据报告(确保内部数据报告的安全),然后再添加数据报告的第一个部分,附上作为通过互联网发送的外部数据消息,它的源地址是路由器R1的全球地址,目标地址是路由器R2的全球地址。
3.路由器R2在接收数据消息后,删除其数据的一部分,恢复原有的内部数据消息(目的地址)并交付给Y主机
可以看出,虽然X向Y发送的数据信息通过公共互联网传递,但它们实际上与本部门专用互联网发送的数据相似。 如果Y主机想向X发送数据信息,所采取的步骤是相似的。
注意,从R1到R2的数据消息可能需要通过互联网中的许多网络和路由器,但从逻辑角度来看,R1和R2之间似乎是一个直线点到点链,这就是图 4-64(a)中的“隧道”的意思。

一个虚拟专用网络 VPN允许用户通过互联网安全私下连接到专用网络。 一个虚拟专用网络创建了一个加密的连接,称为虚拟专用网络隧道,通过这个安全的隧道,所有互联网流量和通信都通过。
学习网络层
(一)IP地址结构及其代表方法:
采用点对点的十进制表示方法



IP地址分类




(2)特殊IP地址
无法分配地址给主机或路由器接口:
-A类网络号码0和127
-主机号码是零,这是网络地址
-主号是1,这是广播地址

(3)子网划分
了解默认的子网掩盖,通过分析子网掩盖给出的IP地址类型来分析主题

IP地址及子网掩护阶段及计算网络地址

下面是绘制分子网络的一个例子

(4)IP地址分配计划


网络中的数据传输取决于MAC地址而不是IP地址,而ARP协议负责将IP地址转换为MAC地址
ARP用于解决同一本地网络上的主机或路由器IP地址和MAC地址的映射
ARP协议工作原理

(1)IP数据报告结构

==(2)分割方法==
分区单元是一个八字节的分区,这意味着除最后的数据报告卡外,所有其他卡片都必须是八字节的乘数
数据单部分长度(例如4-1为1400)*目前第一张数据单数/8
数据报告的总长度为3820字节,数据部分长3800字节(使用固定标题),数据表的长度最大为1420字节。由于固定的第一个部长级为20字节,因此,每个数据表的局部长度不能超过1400字节。它分成三个数据报告,数据部分的长度是1400,1400和100字符。原始数据表的第一个部分被复制到每个数据表的第一个部分,但是,必须修改相关字段的值。图4-21显示分离后取得的结果(注意分离偏差的数目)。
表 4-5 是 本 实例 数据 报告 第一部分 中 有关 该 段 的 字段 的 数目, 其中 标识字 字段 的 值 是 任意 分配 的 (12345 ) 。 同 相同 标识 字段 的 数据 表 可以 正确 地 重新 载入 目标 站 的 原始 数据 表 。
现在假设数据报告卡2通过网络,需要再次分开,它被分成数据表 2-1 (带有数据800字节) 和数据表 2-2 (带有数据600字节)。因此,两个数据报告的总长度、识别、MF、DF和偏移分别为820,12345,1,0,175;620,12345,1,0,275。
分组转移的程序案例
IP数据传输算法:
默认路径也被称为默认路径和默认开关,这是分组的最终目标网络所在的地方。所有都由指定的路由器R处理。当网络有很少的外部连接时,这是非常有用的。在实际的转发表中,默认路由由一个特殊前缀/0表示。这个前缀的 masking 代码是完全0(/0意味着网络前缀是0位元,因此, 编码为32 0.执行全0编码和任何目标地址的Bitwise AND操作,结果一定是全0,也就是说,它必须匹配出版的翻译中的0。现时,按照发出的指示,将子群发送到下一个跳动器R来处理(即间接交付)。
特定主机路径也称为主机路径,主机路径位于传输的前列。 为特定目的主机定义的路径,这个路径称为特定主机路径。
通过其他路由器向其他网络主机提供间接传输,间接传输的最后一步必须是直接传输
直接传输是指目标主机和发送主机在同一子网内传输,无需通过路由器
是否同一子网在同一子网中,由使用IP代码和子网代码进行计算来确定。获得的网络代码与同一子网相同
互联网控制消息协议(RFC 792, STD5)在网络层中用于更有效地传输IP数据消息,并提高传输成功。ICMP允许主机或路由器报告错误并提供异常的报告。ICMP是互联网的标准协议。但这并不是高级协议(看起来是高级协议,因为ICMP消息被嵌入到IP数据消息中,作为数据的一部分),而是IP层的协议。ICMP报告作为IP层数据报告数据,加上数据报的首部,编组IP数据消息发送出去。

原理:ICMP提供一致和可理解的错误报告信息。发送的错误消息返回发送原始数据的设备,因为只有发送设备是错误消息的逻辑接收器。发送设备可以根据ICMP消息确定发生错误的类型,并确定如何更好地检索失败的包。但是ICMP的唯一功能是报告问题而不是纠正错误,并且纠正错误的任务由发送者完成。
我们经常在网络中使用ICMP协议,例如,我们经常使用Ping命令检查网络不访问性(在Linux和Windows上可用),"Ping"过程实际上是使用ICMP协议的工作过程。其他网络命令, 例如跟踪路由, 也基于ICMP协议.
有两种类型的ICMP报告,即ICMP错误报告和ICMP查询报告。
有关RIP工作原则
RIP工作原理
1.RIP路由协议将整个路由表信息发送给邻居
2.RIP路由协议使用跳跃作为计量,根据跳跃数选择最佳路由
3.每次通过路由器,跳数自动增加到1
4.跳跃的最大数目是15,而16个跳跃是无法达到的
5.默认情况下,更新信息每30秒播放一次
距离向量算法
考试,与相应的课后练习
路由器A接收来自邻近路由器B的路由表,需要更新路由器A:
==独立系统(AS):==单一技术管理下的路由器集,这些路由器使用AS内部路由选择协议和通用度量来确定AS内部的一个子组的路由,同时, AS 间的路径选择协议用于确定 AS 间的一个子群的路径。在 自治 系统 内 的 所有 网络 均 由 一 个 行政 单位 ( 如 公司 、 大学 、 政府 部门 等 ) 管理,所有自动系统中的路由器必须在自动系统内连接.
==隧道基本概念:==隧道技术适用于多播组地理分布的地点。例如,图 4-63所示,网络N1和网络N2都支持多播,现在N1的主持人向N2的主持人广播,但是路由器R1和R2之间的网络不支持多播,所以R1和R2不能通过多播地址传输数据,为此,路由器R1重新封装多播数据消息,即,增加正常数据报告的第一个部分,使它成为一个单通道的数据消息,发送到一个单目的地,然后通过隧道从R1到R2.它使用隧道技术,在IP中传输称为IP的数据讯息
隧道可以用来建立与其他服务器的通信线,在需要时,或者在不兼容的网络上传输数据,或者在不安全的网络上提供安全路径,确保客户端可以安全地与服务器通信,然后使用加密方法,如SSL。
隧道本身不会分析HTTP请求,换句话说,请求将样品转移到下一个服务器。
特点
NAT:
专用网络内的一些主机已经分配给本地IP地址(即仅在专用网络中使用的专用地址),但现在他们想与互联网上的主机进行通信(无需加密),那么应该采取什么措施?最简单的方法是尝试重新应用一些全球IP地址。但在许多情况下,这样做并不容易。最常用的方法是使用NAT来转换网络地址。
网络地址转换要求:安装NAT软件在专门的网络上连接到互联网路由器。 带NAT软件的路由器叫做NAT路由器,它至少有一个有效的外部全球IP地址。所有使用本地地址与外部世界通信的主机必须将本地地址转换为NAT路由器上的全球IP地址,以便连接到互联网。
原理: